大家好,又和大家见面啦!今天我们聊聊气相色谱仪的相关知识,讲一讲气相色谱仪的定量分析。

工作曲线法
用峰高定量法计算,事先需要用不同的标准物质配成不同浓度进样,这样就会流出各不相同的色谱峰,由于浓度不同,同组分峰高亦不同,根据相应数值就可绘出不同组分的标准工作曲线,如图1所示。然后在同样条件下进行未知样操作,从未知组分的峰高经过查阅标准工作曲线,即可得知该组分的浓度(或质量百分含量)。

本法较为简便,分析结果的准确度主要决定干进样量的重复性和操作条件的稳定程度,如果仪器和操作条件不稳定,对结果影响很大,所以需定期校正标准工作曲线。对于低沸点的组分、出峰早的组分,往往峰形较高而狭窄,如用峰面积定量存在一定困难,在这种情况下采用峰高定量法较好。若用峰面积对浓度作图,峰面积可按下述方法计算。

峰面积计算方法
如图所示,由于色谱峰外形接近于等腰三角形,所以根据计算等腰三角形面积的计算方法,近似地认为峰面积A等于峰高h乘半峰宽Wh/2(Wh)
A=hWh/2
式中:A为峰面积;h为峰高;Wh/2为 峰高一半处的峰宽。

在气相色谱分析中,进行定量计算的依据是每个组分的含量(质量或物质的量)与每个组分的峰面积(或峰高)成正比例。
mi=giAi
式中:mi为组分含量;Ai为组分峰面积;gi为比例系数。
当用气相色谱仪分析混合物中不同组分的含量时,由于不同组分在同一检测器上产生的响应值不同,所以不同组分的峰面积不能直接进行比较(即相同含量的不同组分,其对应的峰面积并不相等)。为了进行定量计算,就需引入定量校正因子,以某组分的峰面积作标准,把其它组分的峰面积按此标准校正,经校正后,就可对不同组分的峰面积进行比较,因而可计算出各组分的百分含量。
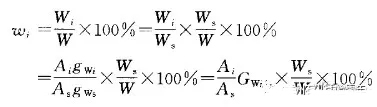
内标法
把一定量的纯物质作内标物,加入到已知质量的样品中,然后用气相色谱仪进行分析,测定内标物和样品中几个组分的峰面积。引入相对质量校正因子,就可计算样品中待测组分的质量分数(wi),其计算公式如下:

式中:Ai, As—待测组分和内标物的峰面积;
Ws,W—内标物和样品的质量;
Gwi/s—待测组分对于内标物的相对质量校正因子(其可自行测定,或由文献中i组分和内标物s对苯的相对质量校正因子换算求出)。
外标法
选择样品中的一个组分作为外标物,用外标物配成浓度与样品相当的外标混合物,进行色谱分析,求出与单位峰面积(或峰高)对应的外标物的质量(或体积)分数(常称K值)。然后在相同条件下对样品进行色谱分析,由样品中待测物的峰面积和待测组分对外标物的相对质量(摩尔)校正因子,就可求出待测组分的质量(体积)分数,计算公式如下:
式中:Ws—外标物的质量;
wi—被测组分的质量分数,%;
Ai—待测组分的峰面积;
Gwi/s—待测组分对外标物的相对质量校正因子;
K—与外标物单位峰面积对应的外标物的质量分数
归一法
当样品中各组分均能被色谱柱分离并被检测器检出而显示各自的色谱峰,并且已知各待测组分的相对校正因子时,就可求出各组分的质量分数(或体积分数)。计算方法如下:


式中:A1,A2,…,Ai,…,An—样品中各个待测组分的峰面积;
G1,G2,…,Gi,…, Gn?—样品中各个待测组分对标准物(苯)的相对(质量或摩尔)校正因子。
介绍了气相色谱仪常用的定量分析方法后,您是不是对定量分析方法有了一定的了解呢?

