X射线荧光光谱仪在混凝土氯离子渗透试验中的应用

对于嵌入钢筋的混凝土,怎么阻止氯离子的进入,从而提供防腐蚀保护,而就算渗入了氯离子,我们怎么去检测识别呢,别急,X射线荧光光谱仪可以检测到氯离子的痕迹。
可靠地估算混凝土中氯离子渗透是使用寿命预测的一个主要参数。电化学测试方法具有快速,而较长期的测试方法可以提供更接近实际应用环境的条件。常用的标准试验方法NT Build 443“加速氯离子渗透法”和NT Build 492“非稳态氯离子迁移系数法”。除了这些标准试验之外,X射线荧光光谱仪能有效地用于测定氯化物扩散系数,但是需要开发多种校准曲线以考虑各种粘合剂系统的基质效应。
X射线荧光光谱Micro-XRF分析技术是对不均匀样品、不规则样品、甚至小件样品和包裹物进行高灵敏度的、非破坏性的元素分析的首选方法。
M4 TORNADO采用了全新的技术,为各种用户提供了最佳的分析性能和非常方便的操控性。
· 采用多导毛细管聚焦镜,照射光斑最小,空间分辨率最高。
· 涡轮增速X-Y-Z样品台,借助放大倍数可变的摄像系统获得高品质的样品影像,可在“飞行中”进行元素分布分析。
· 通过可选的双X射线光管和最多6个滤光片进行灵活的激发。
· 使用XFlash®探测器超高速地获取样品图谱,另外,使用多个探测器可以进一步提高测量速度。
· 基于无标样分析法精确定量分析块状样品,精确分析多层膜样品。
· 具有便捷进样功能的可抽真空的样品室

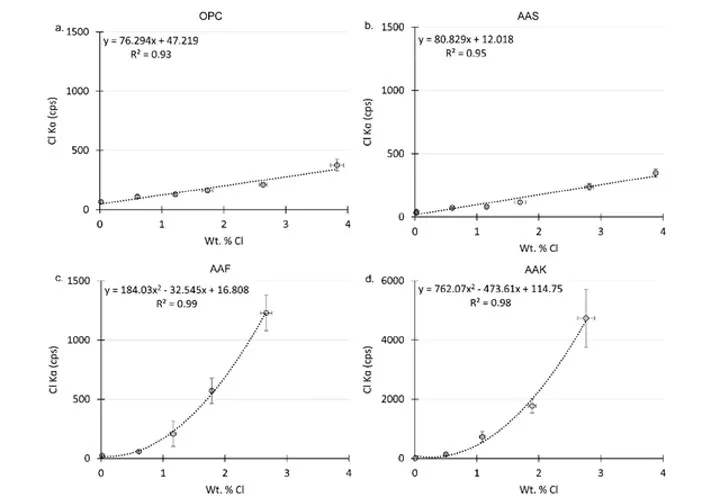
下方用微区X射线荧光光谱仪M4 TORNADO分析的X射线强度与混凝土样品中氯的质量百分比相关联,从用不同成分混凝土混合物的浆料成分制成的参考样品中建立校准曲线。

图1、比较了四种不同成分混凝土滴定法测得的WT%Cl值与加入混合水的WT%Cl的比值。
每个样品随机选取30个点,记录每秒在Cl Kα 2.51~2.76keV范围内的计数(cps)。点在相同的条件下,通过滴定点收集和绘制对WT%Cl值的滴定法测定。

图2、显示了Cl Kα范围内的cps与用滴定法测定的糊剂中氯的质量百分比之间的相关性。

图3、用Micro-XRF光谱作图,对混凝土中氯离子的空间入侵进行了定性观察,并对每个象素在2.51~2.76keV范围内的X射线计数进行了累加。
以上就是X射线荧光光谱仪在混凝土氯离子渗透试验中的检测方法了

